上海市宝山区教育局关于公布2025年下半年中级及初级职称任职资格人员名单的通知_政府信息公开目录_上海市宝山区人民政府门户网站

上海市宝山区教育局关于公布2025年下半年中级及初级职称任职资格人员名单的通知

信息来源: 区教育局 发布时间 2026-01-28
【字号
  • 所属类目: 政府信息公开目录
  • 主题分类: 教育
  • 体       裁: 通知
  • 发布日期: 2026-01-28
  • 发文字号: 宝教〔2026〕3号
  • 发文日期: 2026-01-08
  • 公开类别: 主动公开
  • 机构名称: 区教育局

 

各学校:

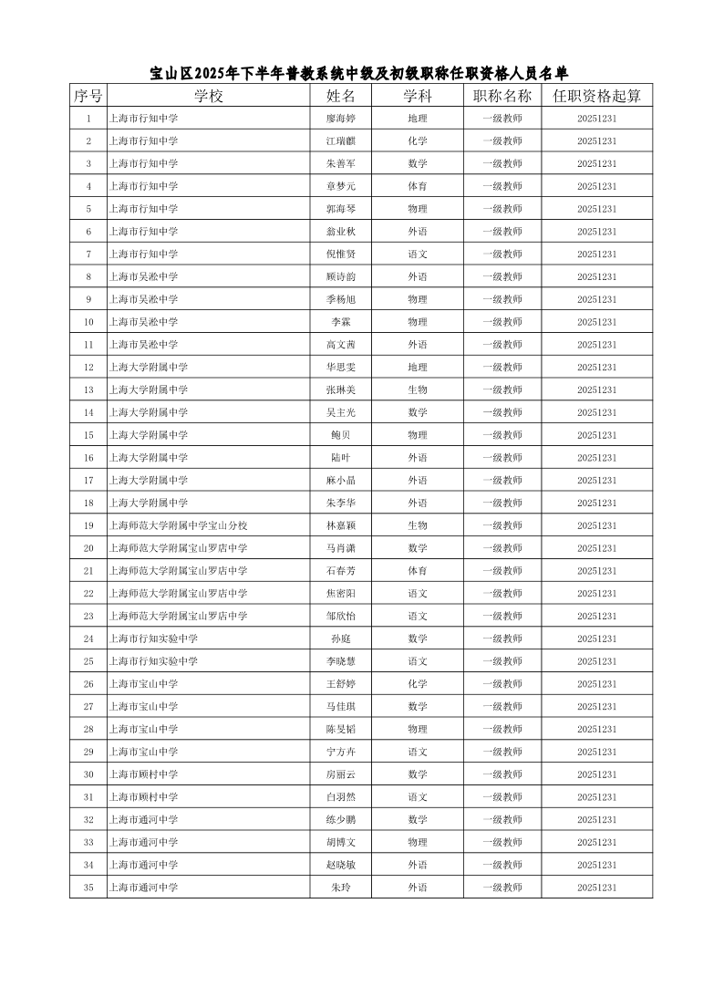
经上海市宝山区中小学教师职称评聘审核领导小组20251216日全体会议审定,同意廖海婷等542人中级职称任职资格;石强等26人经考核直接聘任初级职称任职资格,根据各校的岗位需求,可直接聘任其相应的职称,其任职资格资历从20251231日起计算。

 

附件:宝山区2025年下半年普教系统中级及初级职称人员名单

 

 

                       上海市宝山区教育局

                            202618


 

 

 

 

 

 

当前页二维码

政策咨询

  • 咨询部门*

  • 手机号码*

  • 姓  名*

  • 邮  箱

  • 标  题*

  • 内  容*

  • *

    验证码
  • 是否公开